大咖专栏丨张益唐直播报告学术报告,零点猜想问题终于被解决(文末可获取论文原文)
8日上午9点,张益唐教授带着一支黑笔、一块白板现身b站直播,全网超10万人在线观看,从直播消息放出开始,大家就早早端好了小板凳等着教授精彩开讲!

直播40分钟一堂课的时长,知识点一个接一个,将自己的论文进行了全面解析。本文就带大家回顾本次直播:
什么是朗道-西格尔零点猜想?
朗道-西格尔零点猜想,是广义黎曼猜想的一种特殊形式。
可以将这个复杂的问题简单解释为:数学家们试图证明,狄利克雷的L函数并不存在一个非常接近1的零点(即朗道-西格尔零点)。

拨开迷雾,就能发现数学的美妙
在朗道-西格尔零点猜想中,L函数的实零点与1的距离应为:
张益唐教授起初构造了实属序列{xn},倘若存在朗道-西格尔零点,即推出xn≥0。至此将思路转化,只需证明xn<0,就可以证明朗道-西格尔零点不存在。再依据塞尔伯格筛选法,该问题就转化为了,要找到一组实数序列{ξn},使得
。
但想要需找到这组{ξn},用张益唐教授本人的话来说就好似大海捞针,直到把整个海底都摸遍了,也还是没能找到这根针。
但数学的美妙就在于当你身处迷雾感到绝望的时候,有时换个方向,就会突然发现光明。张益唐教授突然意识到,倘若没有“针”,这个问题是否也能够解决呢?
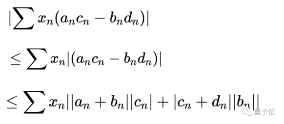
很快,他便有了一个新的想法:ac-bd=(a+b)c-(c+d)b。张益唐教授引入了两组数列{an+bn}和 {cn+dn},证明了xn与 (an+bn)^2的乘积之和非常接近0。(另一组同理)此时,假设xn≥0,基于 ac-bd=(a+b)c-(c+d)b,就可以得到下列结果:

再依据柯西不等式,不等式的左边大于右边,是不成立的。至此,就得到了3个命题,最后只需通过证明这3个命题,得零点与1之间的距离应该小于

以一抵百,意义非凡
40分钟授课结束后,提问环节里最多人提出的问题就是:这项研究成果能有什么实际的作用吗?
张益唐教授解释说,实际上,这项证明比孪生素数的猜想意义还要重大,它更像是一个跳板,以一抵百,它的正面可以让数学界的其他众多猜想都变成了定理。
抛开研究成果,张益唐教授证明猜想的方法同样意义非凡。
自塞尔伯格筛法提出后,七十多年来一直沿用至今,在漫长的数学研究中,塞尔伯格筛法一直是“初步估计在一个小区间里素数分布之上界”的唯一方法。而张益唐教授此次的方法也同样举一反三找到了新的方法,新方法不仅可以用于解决朗道-西格尔零点猜想,还为别的数论问题的解答创造的条件。教授还告诉大家,他不会就此停止研究的脚步,并且已经在想用新方法来改良此前的孪生素数猜想结果,让间距向着目标2出发。

这也就是表面朗道-西格尔零点猜想的结果是能够改进的。
打破偏见,年龄不是探索未知的阻碍

张益唐教授的这篇论文随已完整公开,但目前还未通过同行的评议。待论文通过认证无误后,67岁高龄的他就再次用行动告诉世人年龄不是探索未知的阻碍,谁说“数学是年轻人的游戏”?
扫描下方二维码即可获取论文原文pdf↓

关于BFT白芙堂机器人
BFT(白芙堂)机器人是智能机器人一站式服务平台,能为客户提供机器人选型、培训、解决方案、在线采购、本地化定制等高性价比的一站式服务。平台产品涵盖协作机器人、工业机器人、移动机器人、SCARA机器人、服务机器人、机器人夹爪、三维机器视觉设备、3D工业相机等十余种品类,实现机器人产业链产品全覆盖,并广泛应用于工业制造、实验室自动化、智慧零售、教育科研等行业。平台已与国内外知名机器人企业达成战略合作,并拥有专业的工程师团队,能为客户提供算法及系统定制、职校教学、科研实验室平台搭建、机器人展厅定制等服务,支持一对一技术支持和二次开发。